Progettazione di una piccola struttura adibita a Bed and Breakfast
Facoltà di Ingegneria - Corso di Laurea in Ingegneria Elettronica
Relatore: Prof. Ing. Nicola Sorrentino
Candidato: Vincenzo Marasco
Matr. 69759 | Anno Accademico 2010/2011
2.4 - Descrizione impianti
Impianto elettrico generale
Il punto di consegna ENEL per le diverse utenze presenti nella struttura è dislocato al piano terra. Dal punto di consegna parte il cavo per il quadro elettrico generale che a sua volta darà alimentazione ai sottoquadri (primo piano, secondo piano, cucina, piano terra, quadretto illuminazione piano terra).
Dal quadro generale partiranno cavi unipolare di tipo N07V-K con sezione pari a: 10 mmq per il sottoquadro del piano terra, 1,5 mmq per il quadretto illuminazione, 1.5 mmq con linea trifase per la cucina. Poi dal generale partiranno le montanti, con cavo unipolare di tipo N07V-K con sezione pari a 10 mmq, dirette al sottoquadro1 (del primo piano) e un'altra al sottoquadro2 (del secondo piano).
Il sottoquadro1 controllerà e darà alimentazione agli appartamenti situati al primo piano, cioè stanza1, stanza2, stanza3, stanza4 e stanza5. Il sottoquadro2 controllerà e darà alimentazione agli appartamenti situati al secondo piano, cioè stanza6, stanza7, stanza8, stanza9 e stanza10.
Il sottoquadro al piano terra controllerà e darà alimentazione per la sola linea prese i locali: Sala1, Sala2, Lavanderia e ingresso. Poi un ulteriore cavo per la sola linea luce darà alimentazione a scale e WC. Il quadretto illuminazione darà alimentazione per la sola linea luce dei locali: sala1, sala2, lavanderia, ingresso.
Il sottoquadro della cucina darà alimentazione sia per linea luce che per linea prese al locale della cucina.
Impianto parti comuni
Di questo impianto fanno parte l'impianto di: luce scala, luce WC e illuminazione esterna. L'illuminazione nelle scale e nei WC verrà comandata da sensori di movimento, mentre l'illuminazione esterna da un crepuscolare che sarà collegato al quadro generale.
Le condutture saranno sotto traccia e realizzate in tubo flessibile in pvc di tipo pesante di opportune dimensioni. Le linee saranno realizzate in cavo unipolare di tipo N07V-K flessibile non propagante l'incendio.
Impianto elettrico delle stanze
Per tutti gli appartamenti, gli impianti sono della stessa tipologia, vale a dire che sono costituiti da un impianto elettrico suddiviso in linea prese e linea luce, e dove previsto linea condizionatori. Per ognuno di essi bisogna garantire una fornitura di almeno 1,1 KW. Poiché la destinazione d'uso è identica per tutti gli appartamenti e le dimensioni degli stessi sono all'incirca uguali si ritiene valida la seguente analisi dei carichi per ciascuno di essi:

L'impianto deve essere interamente sotto traccia in tubo flessibile o sotto pavimento in tubo pesante antischiacciamento la cui sezione è determinata dal numero di cavi presenti secondo la seguente tabella: Le sezioni dei cavi sono state determinate secondo i criteri che vedremo in seguito, e in ogni modo non devono essere inferiori a 1,5 mmq per le derivazioni della linea luci ed inferiori a 2,5 mmq per le derivazioni linea prese.
Le prese a spine da installare saranno di tipo domestico bipasso da 10/16A con alveoli schermati secondo la Norma CEI 23-5.
Impianto antintrusione
Per la realizzazione dell'impianto antintrusione sono state considerate le opportune tubazioni e scatole in corrispondenza di porte e finestre per i sensori da utilizzare, in corrispondenza di due angoli opposti, per i sensori volumetrici:
- Tubazione a pavimento di pvc di tipo pesante, diametro 20 mm;
- Tubazione sotto traccia a parete e/o soffitto di tipo leggero, diametro 20 mm.
Le scatole e le tubazioni per i circuiti a bassissima tensione di sicurezza devono essere indipendenti dagli altri impianti. L'alimentazione dall'impianto elettrico, deve derivata direttamente dal quadro con circuito dedicato.
L'impianto d'alimentazione in corrente alternata deve essere efficacemente protetto contro le sovratensioni transitorie proveniente dalle rete elettrica, con dispositivi di protezione realizzati con scaricatori che collegano sia le fasi che il neutro all'impianto di terra.
Impianto Domotico
La domotica è quella disciplina che nasce per automatizzare ed integrare le funzionalità di un ambiente domestico, per apportare alla vita di tutti i giorni comodità, sicurezza ed ottimizzazione degli spazi. Nasce intorno agli anni '70 con lo studio e la realizzazione dei primi progetti che consentivano la connessione di alcuni sistemi come: impianti d'illuminazione, impianti di sicurezza, climatizzazione e condizionamento, dando la possibilità all'utente di automatizzarne alcune funzionalità.
Al giorno d'oggi l'utente ha la possibilità di centralizzare e controllare il funzionamento di tutti gli apparecchi elettronici di casa in un unico telecomando o touch-screen, aumentando quindi il comfort della struttura oltre che la vivibilità dello stesso.
La centrale domotica è situata nella sala di controllo ed interagisce con i vari dispositivi e sistemi presenti nella struttura. In questo modo possiamo interagire e controllare le apparecchiature elettroniche connesse.
La comunicazione tra loro avviene tramite cavo bus di tipo LONWORK. In ogni stanza è presente una centralina che controlla le funzionalità della stanza, tra cui l'elettroserratura, luce di cortesia, sensori vari etc.
Il funzionamento del modello utilizzato per le stanze è il seguente:

L'alimentazione per il modello della centralina utilizzata sarà di 12 VDC La centralina dovrà gestire: allarmi, luci, condizionatore, elettroserratura etc. Sarà installata lontana da possibili fonti di disturbo. Ognuna centralina assorbe circa 500 mA. L'alimentazione delle elettroserrature deve essere separata dall'alimentazione dei terminali ed il cavo dell'elettroserratura deve essere separato del cavo del BUS e da quello del lettore di schede. Il funzionamento di base dell'elettroserratura sta nel fatto che nel momento in cui viene inserita la chiave, dotata di codice cifrato, si apre la porta e si abilitano le luci, la tv e la luce di cortesia, che dipende dal sensore di luce. Questo tipo di rete LON dovrà essere terminata con delle resistenze, che dovranno avere un valore 100 Ω, una per ogni capo del BUS. A monte della centralina ci sarà un trasformatore e un convertitore DC per poterla alimentare. Tutte queste centraline faranno capo alla centrale domotica, situata nella sala di controllo, dove sarà presente un PC, dedicato appositamente, dove fluiranno tutti i segnali provenienti dalle centraline delle camere, per garantire un facile controllo della struttura.
Verranno inseriti contatti magnetici alle finestre di ogni stanza, e la centralina controllerà costantemente lo stato delle finestre e la presenza o meno dell'utente, in caso di stanza vuota e finestra in apertura, il sistema percepirà una eventuale intrusione e darà l'allarme.
Impianto TV+SAT
Sul tetto verrà installata un'antenna per la ricezione terrestre ed una per quella satellitare. Verrà realizzata un'unica colonna discendente riportata nella planimetria allegata ed in corrispondenza di ogni piano attraverso un multisplit il segnale verrà diviso nei diversi appartamenti secondo la norma CEI 12-15.
In ogni appartamento verranno realizzati i punti di connessione attraverso sistemi di derivazione e splitting secondo le planimetrie allegate. Il cavo da utilizzare è il cavo di tipo coassiale con impedenza da 75 Ω RG59. L'intero impianto è realizzato sotto traccia in tubo flessibile da 16 mmq separato dalle linee elettriche.
Le cassette di derivazione dovranno essere indipendenti o con settori separatori. Le scatole porta-prese TV dovranno essere anch'esse indipendenti o separate con settori dagli altri impianti. Le prese dovranno avere impedenza caratteristica di 75 Ω e dimensioni secondo la tabella CEI - UNEL 84601 - 71.
Impianto Telefonico
All'ingresso dei vari appartamenti in corrispondenza del primo punto telefonico, dovranno essere installate, ad un'altezza dal pavimento compresa tra 25 ÷ 35 cm con riferimento al bordo inferiore, tre " scatole unificate TELECOM " da incasso, adiacenti, intercollegate fra loro e con cassetta di derivazione della struttura, con tubo pvc pesante di diametro 20 mm.
In caso d'incrocio con una canalizzazione per cavi d'energia, di regola, quella per cavi telefonici dovrà essere sovrastante. L'impianto telefonico deve avere tubazioni, cassette e scatole separate ed indipendenti dagli altri impianti. Le cassette devono essere sempre raggiungibili senza ausilio di scale.
Le prese telefoniche devono essere installate ad altezza dal suolo di almeno 17,5 cm e non al di sopra delle prese di energia elettrica.
La distribuzione interna alla struttura, se necessaria, deve essere realizzata in tubazione pvc flessibile o rigida di diametro 20 mm e deve essere predisposta in modo da formare un anello che collega le varie prese telefoniche disposte nel locale; nei tratti a pavimento la tubazione deve essere di tipo pesante.
Il raggio di curvatura minimo di posa delle tubazione deve risultare almeno 6 volte il diametro esterno della tubatura stessa. Su richiesta della compagnia telefonica si deve installare entro la tubazione il cavetto telefonico fornito dalla stessa. Le tubazioni predisposte devono essere corredate di " filo pilota " interno.
Impianto di messa a terra
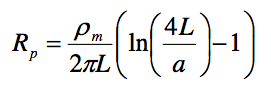
L'impianto di messa a terra si estenderà all'esterno del fabbricato. Sarà essenzialmente costituito da spandenti in ferro zincato alloggiati in appositi pozzetti senza fondo muniti di coperchio collegati al nodo di terrà tramite un cavo di sezione adeguata. Infatti secondo quanto dettato dalla norma C.E.I. 64-8 i conduttori di terra per essere in grado di resistere alla corrosione, agli eventuali sforzi meccanici e di portare al dispersore la corrente di guasto, devono avere una sezione minima di 25mmq se non sono protetti contro la corrosione (interrato) e una sezione minima di 16 mmq se sono protetti contro la corrosione (conduttore con isolamento in PVC). Per la determinazione della resistenza complessiva di terra si utilizzano le seguenti formule relative ai dispersori a picchetto:

dove
è la resistività media del terreno e L è la lunghezza del picchetto a è il
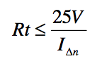
raggio del picchetto. Tale impianto dovrà ottemperare a quanto disposto dalla norma C.E.I. 64-8/4 sezione 413 e cioè:

Considerando una resistività di 120 Ωm per il terreno oggetto di intervento sono sufficienti 4 picchetti di lunghezza di 2 metri e di raggio 5 cm, posti ad una distanza di almeno di 10 metri l'uno dall'altro. Le giunzioni tra gli elementi del dispersore e il conduttore di terra avranno dimensioni sufficienti a garantire una buona continuità elettrica, dovranno evitare la formazione di coppie galvaniche ed in generale essere resistenti alla corrosione. Esse saranno eseguite con morsetti a bullone aventi superfici di contatto di almeno 200 mmq e bulloni di diametro non inferiore a 10 mm. Sarà realizzato il collettore principale di terra che costituisce il punto di congiunzione tra i conduttori di terra, i conduttori di protezione ed i conduttori equipotenziali e che deve essere accessibile per le verifiche posto in prossimità del quadro elettrico principale come si evince dalla planimetria allegata.
Sarà costituito da una piastra metallica con morsetti, viti e bulloni per fissare i capicorda dei conduttori che devono essere identificati mediante targhette con idonea segnalazione. Per rendere equipotenziale l'area protetta tale impianto dovrà essere interconnesso con tutte le masse metalliche estranee e non (apparecchiature elettriche, tubazioni idriche ecc.), tale connessione sarà realizzata con conduttori flessibili ed antifiamma di colore giallo-verde di sezione non inferiore ai 6 mmq
Infatti questi conduttori, che svolgono la funzione di collegamento fra collettore
principale di terra ed un certo numero di masse estranee, devono avere, secondo
quanto disposto dalla norma C.E.I. 64-8, le seguenti sezioni minime:
- metà della sezione del conduttore di protezione di sezione più elevata dell'impianto, con un minimo di 6 mmq
- non e' richiesto che la sezione superi i 25 mmq se il conduttore e' di rame.
Sarà realizzata una colonna montante di 6 mmq in apposito tubo flessibile di 16 mmq e da apposite cassette di derivazione poste in ogni piano verranno derivati il collegamento di messa a terra nei singoli appartamenti. Tutti i punti terminali luce e prese devono essere dotati di conduttore di terra di sezione minima di 1,5 mmq e 2,5 mmq rispettivamente.
Illuminazione di emergenza
Negli ambienti frequentati dal pubblico o nei luoghi in cui si svolgono attività ad alto rischio, La mancanza dell'illuminazione ordinaria può provocare dei gravi pericoli per le persone, ad esempio, un black-out in un cinema o in una sala di teatro, provocherebbe il panico tra gli spettatori, oppure in un ospedale, impedirebbe gli interventi dei medici durante le operazioni chirurgiche.
Per prevenire ed eliminare tali rischi è necessario progettare ed installare sistemi d'illuminazione d'emergenza che rispettino le prescrizioni tecnico-normative relative all'ambiente specifico. La normativa riferita all'illuminazione di emergenza è formata da un insieme di norme, decreti e leggi sia in ambito europeo che nazionale, le quali ne dispongono gli obblighi e le prescrizioni progettuali.
L'illuminazione d'emergenza è utilizzata quando viene a mancare l'illuminazione ordinaria, dovuta ad una interruzione improvvisa dell'alimentazione, a causa di un incidente o guasto all'impianto elettrico, o in caso di interruzione da parte del fornitore d'energia.
L'illuminazione d'emergenza è suddivisa in "illuminazione di riserva" ed in "illuminazione di sicurezza". L'illuminazione di riserva ha il solo scopo di far continuare o terminare le attività in corso.
L'illuminazione di sicurezza ha il compito di illuminare le uscite, le vie di esodo, la segnaletica di sicurezza, i luoghi in cui è probabile l'insorgere del panico e i locali in cui si svolgono attività pericolose. Per quanto riguarda il nostro caso, cioè del BED AND BREAKFAST, sono state situate in vari punti della struttura i punti luci relativi all'illuminazione d'emergenza, per garantire, come citato prima, la sicurezza delle persone e la continuità delle operazioni.